Free Printable Lease Agreement Template

Are you in need of a free printable lease agreement template for your rental property? Look no further! Creating a legally binding lease agreement is crucial for both landlords and tenants to protect their rights and responsibilities.

By using a free printable lease agreement template, you can easily customize the document to suit your specific needs. Whether you are renting out a residential property or commercial space, having a written agreement in place can help prevent any misunderstandings or disputes in the future.

free printable lease agreement template

free printable lease agreement template

Free Printable Lease Agreement Template: What to Include

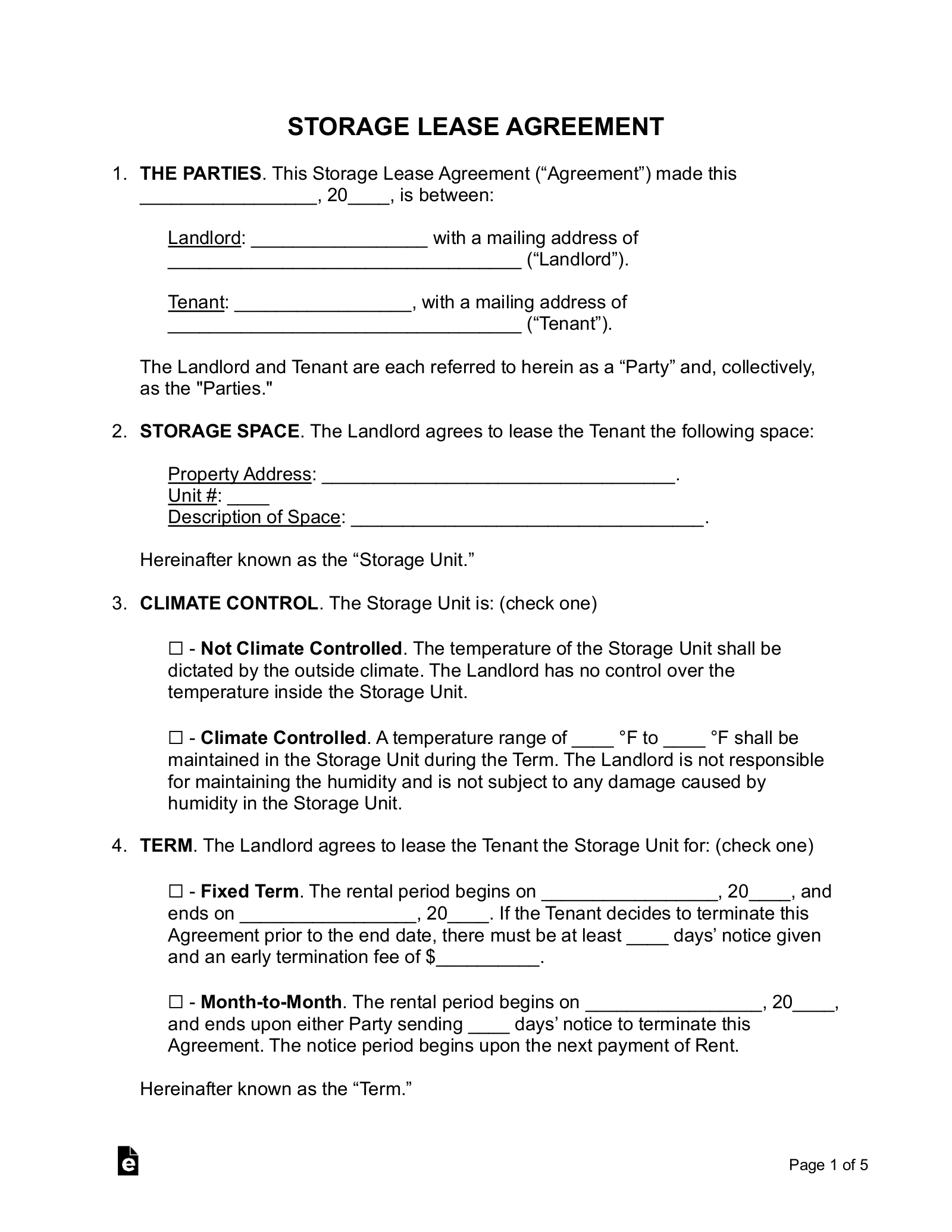
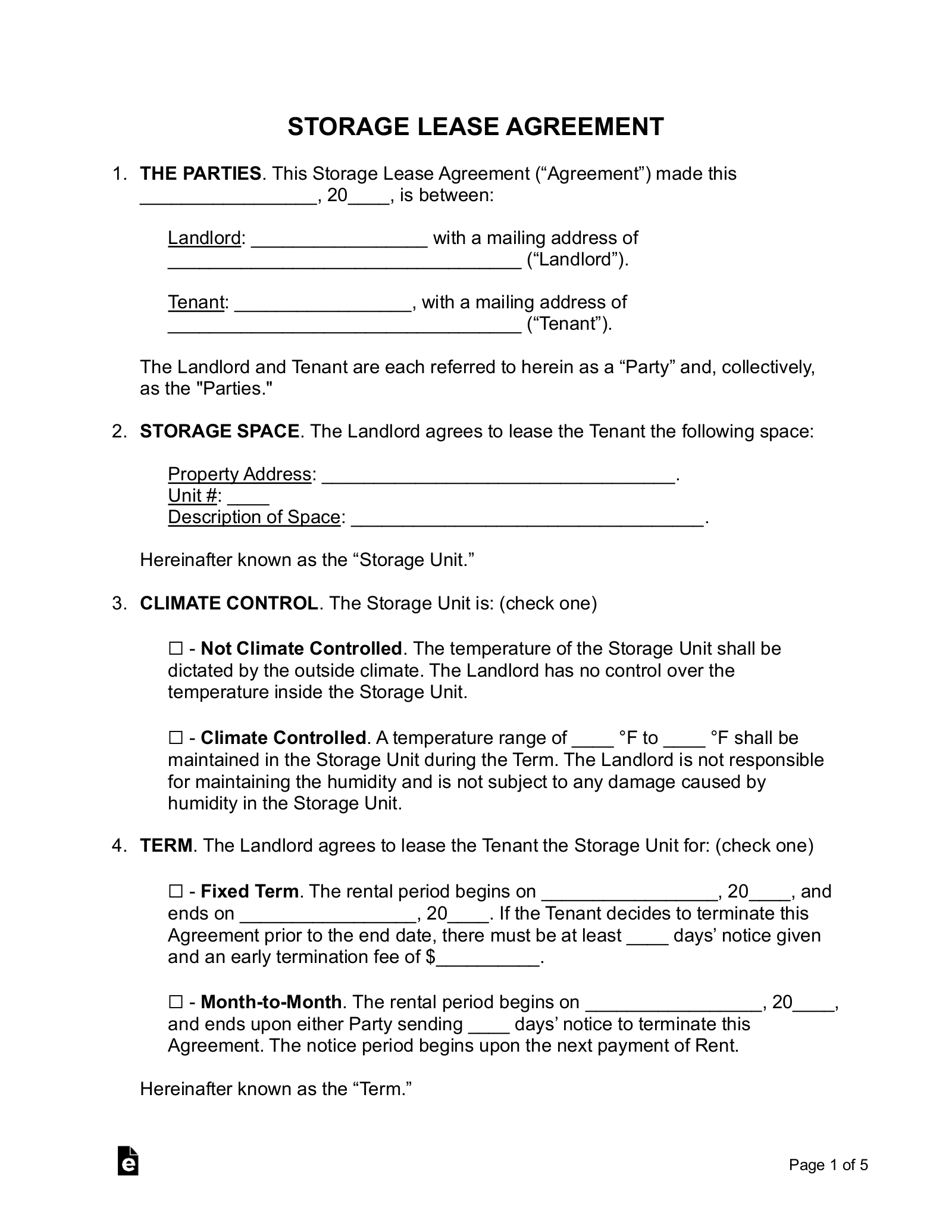
When filling out a lease agreement template, be sure to include important details such as the names of the landlord and tenant, the rental property address, the lease term, rent amount, security deposit, and any rules or regulations that both parties must follow.

Additionally, you may want to include clauses regarding maintenance responsibilities, late fees, pet policies, and the procedure for resolving disputes. It’s essential to carefully review the lease agreement with all parties involved before signing to ensure everyone is in agreement.

Remember, a well-drafted lease agreement can help protect your rights as a landlord or tenant. By using a free printable template as a starting point, you can create a comprehensive and legally binding document that meets your specific needs.

So, next time you need a lease agreement, don’t hesitate to use a free printable template to simplify the process. With the right template, you can create a solid foundation for a successful landlord-tenant relationship.

Free Texas Lease Agreement Templates 6 PDF WORD RTF

Free Texas Lease Agreement Templates 6 PDF WORD RTF

Free Printable Lease Agreement Fill Out Sign Online DocHub

Free Printable Lease Agreement Fill Out Sign Online DocHub

Free Rental Lease Agreement Templates PDF Word

Free Rental Lease Agreement Templates PDF Word

Free Rental Lease Agreement Templates 15 PDF Word EForms

Free Rental Lease Agreement Templates 15 PDF Word EForms

Free Simple 1 Page Lease Agreement Template PDF Word

Free Simple 1 Page Lease Agreement Template PDF Word